Notice
Recent Posts
Recent Comments
Link
| 일 | 월 | 화 | 수 | 목 | 금 | 토 |
|---|---|---|---|---|---|---|
| 1 | 2 | 3 | 4 | 5 | 6 | 7 |
| 8 | 9 | 10 | 11 | 12 | 13 | 14 |
| 15 | 16 | 17 | 18 | 19 | 20 | 21 |
| 22 | 23 | 24 | 25 | 26 | 27 | 28 |
Tags
- BAEKJOON
- Stream
- study book
- fastapi를 사용한 파이썬 웹 개발
- Kaggle
- MATLAB
- BOF
- pytorch
- bloc
- 영상처리
- ML
- FastAPI
- C++
- BFS
- llm을 활용 단어장 앱 개발일지
- 백준
- Computer Architecture
- system hacking
- ARM
- MDP
- PCA
- Dreamhack
- Widget
- Algorithm
- Flutter
- 파이토치 트랜스포머를 활용한 자연어 처리와 컴퓨터비전 심층학습
- DART
- rao
- Image Processing
- Got
Archives
- Today
- Total
Bull
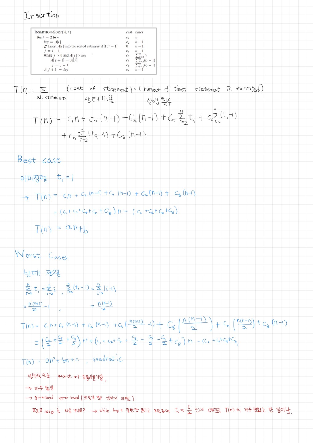
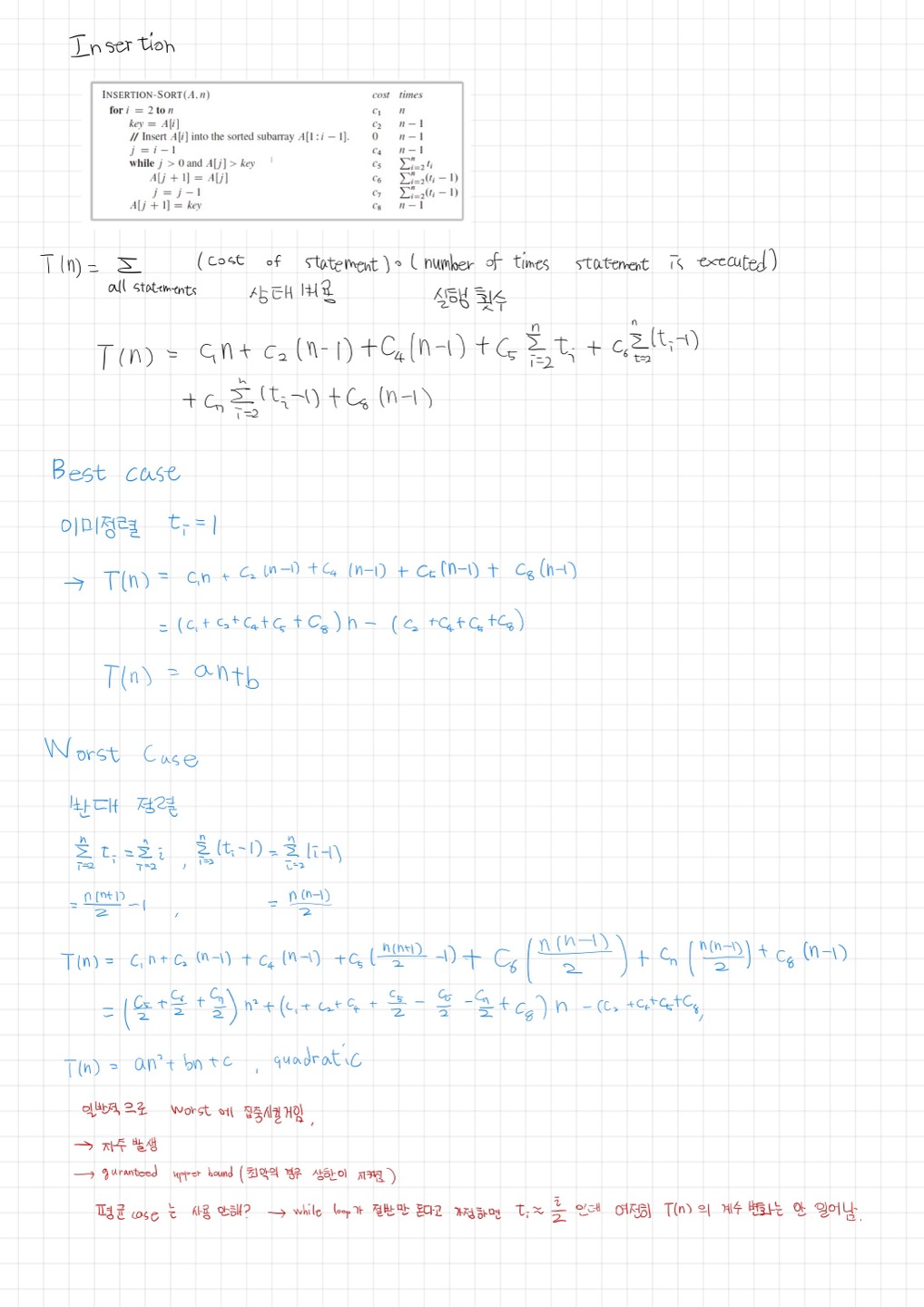
[Algorithm::Sort] Insertion Sort 시험 요약 본문

'Algorithm > Theory' 카테고리의 다른 글
| [Algorithm::Sort] Heap Sort 시험 요약 (0) | 2024.10.21 |
|---|---|
| [Algorithm::Sort] Merge Sort 시험 요약 (1) | 2024.10.21 |
| [Algorithm::Bitmask] 가장 오른쪽 1을 1개씩 없애는 법(1111,1110,1100,...) (0) | 2024.08.21 |
| [Algorithm] Graph Theory (0) | 2024.03.16 |
| [Algorithm] 뤼카의 정리(Lucas' Theorem) (0) | 2024.03.05 |
