Notice
Recent Posts
Recent Comments
Link
| 일 | 월 | 화 | 수 | 목 | 금 | 토 |
|---|---|---|---|---|---|---|
| 1 | 2 | 3 | 4 | 5 | 6 | |
| 7 | 8 | 9 | 10 | 11 | 12 | 13 |
| 14 | 15 | 16 | 17 | 18 | 19 | 20 |
| 21 | 22 | 23 | 24 | 25 | 26 | 27 |
| 28 | 29 | 30 | 31 |
Tags
- PCA
- Image Processing
- study book
- BOF
- ARM
- Kaggle
- Algorithm
- FastAPI
- DART
- BAEKJOON
- MATLAB
- Computer Architecture
- fastapi를 사용한 파이썬 웹 개발
- 파이토치 트랜스포머를 활용한 자연어 처리와 컴퓨터비전 심층학습
- ML
- pytorch
- Dreamhack
- C++
- bloc
- rao
- 백준
- MDP
- 영상처리
- llm을 활용 단어장 앱 개발일지
- system hacking
- Got
- Widget
- Stream
- Flutter
- BFS
Archives
- Today
- Total
Bull
정보과목용 C언어 정리 본문
(고려대 정보과목 오답노트)
strncat(str1, str2, size);
str1의 주소 상관없이 \0 를 만나면 str2를 붙임.
예를들어 str1[3]주소를 전달하면 그 끝에 \0시작지점에 str2를 붙인다.
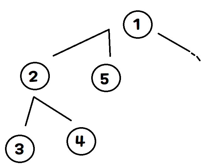
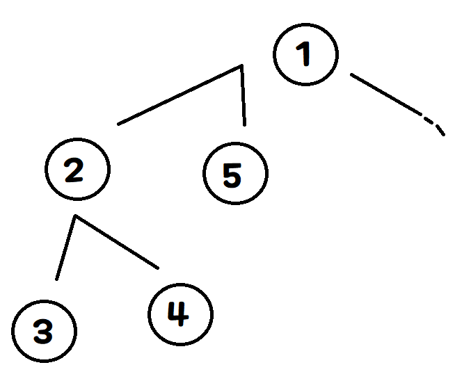
Preorder treversal (전위 순회)

부모노드 → 왼쪽 노드 → 오른쪽 노드 (부왼오)
Postorder treversal (후위 순회)

왼쪽 노드 → 오른쪽 노드 → 부모 노드 (왼오부)
Inorder treversal (중위 순회)

왼쪽 노드 → 부모 노드 → 오른쪽 노드 (왼부오)
Levelorder treversal (레벨 순회)

그냥 층별로, BFS알고리즘과 유사
후위 표기법
후위연산에 좋은 자료구조 : 스택
// 후위연산 전
(6+2) * 5 8 / 4
// 후위연산 후
6 2 + 5 * 8 4 / -
[자료구조] 스택의 응용 - 수식의 후위 표기법
지난번에 포스팅한 스택 자료구조를 활용하여 수식의 후위 표기법을 구현해보도록 하겠습니다! 스택의 응용 - 수식의 후위 표기법 중위 표기법 (infix notation): 연산자가 피연산자들의 사이에 위
velog.io
scanf
scanf(”%8[^aeiou]“, param);
8자리수를 a e i o u 중 하나를 만날때 까지만 받겠다
strtok
strtok(ptr, ", ");
,(콤마)까지 토큰을 나눠 하나만 받겠다.
*ptr = "string, char" 이면
*token = "string\0"로 주소에 저장.
char
-128~127(256칸)
1byte
부호비트 제외 7비트 = 2에7승
'Computer Language > C' 카테고리의 다른 글
| C언어 연산자 우선순위 및 결합방향 표 (0) | 2023.09.14 |
|---|---|
| [C언어] 콘솔창 현재 커서의 좌표 알아내기 (0) | 2022.09.08 |